inc. â– r 1992 -1998 PERSONAL WATERCRAFT SERVICE MANUAL Foreword This manual is designed primarily for use by Polaris personal watercraft service technicians in a properly equipped shop. Persons using this manual should have a sound knowledge of mechanical theory, tool use, and shop procedures in order to perform the work safely and correctly. The technician should read the text and be familiar with service procedures before starting the work. Certain procedures require the use of special tools. Use only the proper tools, as specified. Cleanliness of parts and tools as well as the work area is of primary impor tance. This manual includes procedures for disassembly and reassembly, inspection, maintenance, component identifi cation and unit repair, along with service specifications for all 1992 -1998 Polaris personal watercraft. A table of contents is placed at the beginning of each chapter to aid the user in locating specific areas of information. The alphabetic index at the end of the manual will help the user find specific information quickly. Care is taken to ensure that all information in this manual was technically correct at the time of publication. How ever, all materials and specifications are subject to change without notice. Comments or suggestions about this manual may be directed to: Service Publications, Supervisor, Polaris Industries Inc., 1225 Highway 169 North, Minneapolis, MN 55441-5078. Technical Training Center Minneapolis, MN 55441 1992-1998 Personal Watercraft Service Manual (PN 9912201) Printed in U.S.A.
UNDERSTANDING SAFETY LABELS AND INSTRUCTIONS Throughout these instructions, important information is brought to your attention by the following symbols: j\ The Safety Alert Symbol means ATTENTION! BECOME ALERT! YOUR SAFETY IS INVOLVED! DANGER Failure to follow DANGER instructions will result in severe injury or death to the operator, passenger, bystander or person inspecting or servicing the watercraft. A WARNING Failure to follow WARNING instructions could result in severe injury or death to the operator, passenger, bystand er or person inspecting or servicing the watercraft. A CAUTION indicates special precautions that must be taken to avoid minor personal injury, or watercraft or prop erty damage. NOTE: A NOTE provides key information to clarify instructions. Polaris acknowledges the following products mentioned in this manual: Loctite, Registered Trademark of the Loctite Corporation FLEXLOC, Registered Trademark of SPS Technologies MityVac, Registered Trademark of Neward Enterprises Torx, Trademark of Textron Teflon, Trademark of DuPont Vortex, Trademark of Ocean Pro Alemite, Trademark of Alemite Corporation SPECIAL TOOLS Special tools described in this manual may be ordered directly from the Victor Specialty Tool Company. The toll free order FAX number is 1-800-716-3938 (orders only please). Phone 716-742-1790. Address: Victor Specialty Tool Co 66 School St. Victor, NY 14564
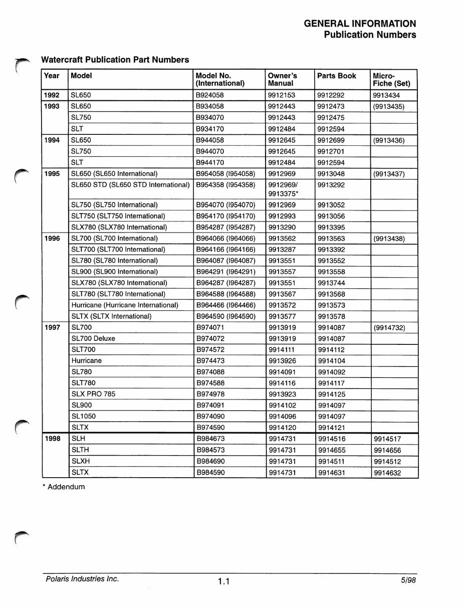
r CHAPTER 1 GENERAL INFORMATION Publication Numbers 1.1 r Service Bulletin Index By Bulletin Number 1.2 -1.4 Service Bulletin Index By Model 1.4a -1.4b Paint Codes 1.5-1.6a Model Identification 1.7 Model Specifications 1992 -1993 1.8 Model Specifications 1994 -1995 1.9-1.11 Model Specifications 1996 - 1997 1.12 - 1.14c Model Specifications 1998 1.14d - 1.14e Standard Torque Specifications 1.15 Decimal Equivalents 1.16 r Conversion Table 1.17 Tap Drill Charts 1.18 Glossary of Terms 1.19 -1.20 Service Tips 1.21 Warranty Policy 1.22 r
GENERAL INFORMATION Service Bulletin Index Service/Information Bulletins -1992 PWC-92-01 1. Driveshaft Coupler Lubrication Interval 2. Flame Arrestor Intake Cover Sealing on Craft Before Ser. # 00097 3. Storage Cover Hinges and Insert Bolt Torque PWC-92-02 Driveshaft Seal/Bearing Housing Oil Reservoir Tube PWC-92-03 Engine Oil Injection Line Damage PWC-92-04 SL 650 Carburetion Setup and Adjustments PWC-92-05 1. Paint Codes and Refinishing Procedure for SL 650 2. SL 650 Cylinder Head Gasket Positioning 3. Optional Jet Pump Impeller for SL 650 PWC-92-06 SL 650 Engine Cooling System Revision PWC-92-07 SL 650 Engine Cooling System Check Valve Installation PWC-92-08 Lanyard Cord Switch Adjustment PWC-92-09 SL650 Engine Spark Plugs PWC-92-10 SL650 Engine Draining Procedures for Cold Weather Storage Service/Information Bulletins -1993 PWC-93-01 Incorrect Ride Plate Installed on Some 1993 SL750 Model Watercraft PWC-93-02 1992 SL650 Fuel Tank Drop Tube Retaining Cap PWC-93-03 1992 SL650 Update Kit PN 2200475 PWC-93-04 Lanyard Cord Switch Adjustment PWC-93-05 1993 Model PWCs with Low Oil Warning Buzzers That Remain On After Oil Tank Has Been Filled PWC-93-06 Air Intake Silencer Mounting Bolts 1993 SL650 Model #B934058 (all) 1993 SL750 Model #B934070 through Serial #PLE07000C393 PWC-93-07 1. All 1992 and 1993 SL650 and SL750 Fuel Tank Drop Tube Retaining Cap 2. Fuel Tank Drop Tube Lines and Clamps 3. Oil Tank Lower Elbow Fitting Inspection PWC-93-08 1. Speedometer Kit Installation on 1992 SL650 Watercraft 2. Quick Trim System not Staying in Set Position 3. Inspection of Oil System, Fuel System Vent Lines and Check Valves PWC-93-09 Oil Tank Lower Elbow Fitting Replacement 4/96 1.2 Polaris Industries Inc.
GENERAL INFORMATION Service Bulletin Index r r r Service/Information Bulletins -1994 PWC-94-01 1. Spark Plug Caps Improperly Installed on the Coil High Tension Leads 2. Insufficient Torque on Cylinder Head Nuts 3. Spark Plug Type Listed Incorrectly in Owner's Manual PWC-94-02 Retention of the air Intake Duct Drain Hose PWC-94-03 1. Fiberglass Gel Coat Surface Crazing (Spider Webbing) 2. A Limited Number of 1994 SLTs may need Fiberglass Trimmed from the area below the rub rails in the rear corners PWC-94-04 Possible Water Leak on SLT Drive Shaft Through-hull Fitting PWC-94-05 Engine Cooling Water Inlet Hose PWC-94-06 1. Exhaust Manifold Fasteners 2. Prevention of Water Leakage PWC-94-07 1994 SLT Seat and Compartment Door Seals PWC-94-08 Front Seat Latch Plate Wear Into Gel Coat on some 1994 SLTs PWC-94-09 All 1994 SL650, SL750 & SLT, Fuel Tank Drop Tube Retaining Cap PWC-94-10 1994 SL750 Power Trim Nozzle Fasteners PWC-94-11 1. 1994 SLT Water Leaks at Steering and Reverse Cable 2. All 1994 Watercraft. Rear Muffler Bracket may wear through water supply hose PWC-94-12 All 1994 Watercraft. Possible water ingestion through the air intake PWC-94-13 1994 SLT Fuel Tank Vent Relocation Service/Information Bulletins -1995 PWC-95-01 1994 SLT - Reinforcement Of Driveshaft Through Hull Fitting PWC-95-02 1994 SLT - Fuel Tank Vent System Update PWC-95-03 All 1994 Models - Failure Of Vacuum Controlled Fuel Valve PWC-95-04 1995 SLT - Loose Hose Clamp On Exhaust Cross-Over Hose PWC-95-05 All 1995 Models - Cracked Or Broken Stems On Fuel Tank Pick-up/Sender Unit PWC-95-06 All 1995 Models - Defective Oil Tank Fitting PWC-95-07 All 1995 Models - Kinked Fuel Lines PWC-95-08 1995 SL650/750 - Incorrect Fuel Line Routing PWC-95-09 1995 SL650/750 - Loose Front Bumper PWC-95-10 All 1995 Models - Bilge Siphon Fitting Restricted Or Plugged PWC-95-11 All 1995 Models - Steering Cable Adjustment Procedure PWC-95-12 All 1995 Models - Grab Handle Cracking PWC-95-13 1995 SLX 780 - Intermittent Hard Starting r Polaris Industries Inc. 1.3 4196
GENERAL INFORMATION Service Bulletin Index Service/Information Bulletins -1995 (Cont.) PWC-95-14 1995 SL650/SL650 STD - Piston Damage Or Lean Condition At High Throttle Settings PWC-95-15 All 1992-1995 SL650; SL650 STD; SL750; SLX780 - Improved Seat Seal Kit PWC-95-16 All 1993-1995 Model Watercraft - Cooling Water Hose Damage PWC-95-17 1995 SL650 STD; 1995 SLX 780 - Threaded Through Hull Fitting May Loosen PWC-95-18 All 1992-1995 Model Watercraft - Fuel Valve Restriction May Cause Lean Condition PWC-95-19 1994 -1995 SLT 750 - Fuel Cap Cracking PWC-95-20 All 1995 Watercraft - Improved Steering Cable Retention PWC-97-05 All 1995-1996 Watercraft Fuel Inlet and Cap Replacement Service/Information Bulletins -1996 PWC-96-01 1996 SLT700 - Flywheel Replacement and Cylinder Head Bracket Installation PWC-96-02 All Except SL/SLT 700 - MFD Malfunction PWC-96-03 SLTX - Temperature Sensors Incorrect Or Missing PWC-96-04 All 1996 PWC - Loose Handgrips PWC-96-05 1996 SL900 and SLTX - Improved Throttle Response On Initial Acceleration PWC-96-06 1996 SLT 780 - Steering Cable May Contact The Drive Coupler PWC-96-07 All 1992-1995 Models; All 1996 700, 780, & Hurricane Models - Fuel Valve Restriction May Cause Lean Condition PWC-96-08 1996 SLTX - Revised Carburetor Jetting For SLTX -^H PWC-96-09 1996 Hurricane - Loose Engine Mounting Bolts and Air Filter Mounting Studs PWC-96-10 All 1996 Model Watercraft (Except Hurricane) - Leaks At Bilge Plug PWC-96-11 1996 SL700; SLT700; Hurricane; SL900; - Oil Pump O-Ring Leakage PWC-96-12 1996 SL700; SLT700; Hurricane; SL900; SLTX; - Loose Or Broken Cylinder Head Bolts PWC-96-13 1996 Hurricane - Handlebars May Develop Cracks PWC-96-14 1996 SL780; SLT780; SLX 780 - Carburetor Hi/Low Screw Settings PWC-96-15 1996 Hurricane - Hood Seal Replacement PWC-97-05 All 1995-1996 Watercraft Fuel Inlet and Cap Replacement Service Bulletins -1997 PWC-97-01 1997 SL1050 - Quality Assurance Upgrades To Engine And Pump PWC-97-02 1997 SLTX - Quality Assurance Upgrades To Engine, Pump, and Compartment Door PWC-97-03 1997 SLTX Compartment Door Latch Plate Replacement PWC-97-04 1997 SLX Pro 785 Compartment Door Latch Plate Replacement PWC-97-05 All 1995-1996 Watercraft Fuel Inlet and Cap Replacement Service Bulletins -1998 PWC-98-01 1998 SLX Pro 785 Cooling Water Outlet Hose Restrictor j*^^^V 5/98 1.4 Polaris Industries Inc.
GENERAL INFORMATION Service Bulletin Index - By Model r 1996 PWC Bulletin Index By Model r r r Model Bulletin # Type Notes All 1996 Models PWC-96-04 PWC-96-10 PWC-97-05 Service Information Service Loose Hand Grips - All 1996 Models Leaks At Bilge Plug (Except Hurricane) Fuel Inlet and Cap Replacement 1996 SLTX PWC-96-02 PWC-96-03 PWC-96-04 PWC-96-05 PWC-96-08 PWC-96-10 PWC-96-11 PWC-96-12 Service Service Service Service Service Information Service Information Multi Function Display-Erratic RPM /Water Damage Engine Temp Sensor Incorrect Or Missing Loose Hand Grips - All 1996 Models Improved Throttle Response On Initial Acceleration Revised Carburetor Jetting For SLTX Leaks At Bilge Plug (Except Hurricane) Oil Pump O-Ring Leakage Loose Or Broken Cylinder Head Bolts 1996 SL 900 PWC-96-02 PWC-96-04 PWC-96-05 PWC-96-10 PWC-96-11 PWC-96-12 Service Service Service Information Service Information Multi Function Display-Erratic RPM /Water Damage Loose Hand Grips - All 1996 Models Improved Throttle Response On Initial Acceleration Leaks At Bilge Plug (Except Hurricane) Oil Pump O-Ring Leakage Loose Or Broken Cylinder Head Bolts 1996SLX780 PWC-96-02 PWC-96-04 PWC-96-07 PWC-96-10 PWC-96-14 Service Service Information Information Service Multi Function Display-Erratic RPM /Water Damage Loose Hand Grips - All 1996 Models Fuel Valve Restriction May Cause Lean Condition Leaks At Bilge Plug (Except Hurricane) Carburetor High/Low Screw Settings 1996SLT780 PWC-96-02 PWC-96-04 PWC-96-06 PWC-96-07 PWC-96-10 PWC-96-14 Service Service Service Information Information Service Multi Function Display-Erratic RPM /Water Damage Loose Hand Grips - All 1996 Models Steering Cable May Contact Drive Coupler Fuel Valve Restriction May Cause Lean Condition Leaks At Bilge Plug (Except Hurricane) Carburetor High/Low Screw Settings 1996SL780 PWC-96-02 PWC-96-04 PWC-96-07 PWC-96-10 PWC-96-14 Service Service Information Information Service Multi Function Display-Erratic RPM /Water Damage Loose Hand Grips - All 1996 Models Fuel Valve Restriction May Cause Lean Condition Leaks At Bilge Plug (Except Hurricane) Carburetor High/Low Screw Settings r Polaris Industries Inc. 1.4a 5/98
GENERAL INFORMATION Service Bulletin Index By Model 1996 PWC Bulletin Index By Model (Cont.) Model Bulletin # Type Notes 1996SLT700 PWC-96-01 PWC-96-04 PWC-96-07 PWC-96-10 PWC-96-11 PWC-96-12 Service Service Information Information Service Information Flywheel Replacement And Cyl. Head Bracket Loose Hand Grips - All 1996 Models Fuel Valve Restriction May Cause Lean Condition Leaks At Bilge Plug (Except Hurricane) Oil Pump O-Ring Leakage Loose Or Broken Cylinder Head Bolts 1996SL700 PWC-96-04 PWC-96-07 PWC-96-10 PWC-96-11 PWC-96-12 Service Information Information Service Information Loose Hand Grips - All 1996 Models Fuel Valve Restriction May Cause Lean Condition Leaks At Bilge Plug (Except Hurricane) Oil Pump O-Ring Leakage Loose Or Broken Cylinder Head Bolts 1996 Hurricane PWC-96-02 PWC-96-04 PWC-96-07 PWC-96-09 PWC-96-11 PWC-96-12 PWC-96-13 PWC-96-15 Service Service Information Service Service Information Safety Alert Service Multi Function Display-Erratic RPM /Water Damage Loose Hand Grips - All 1996 Models Fuel Valve Restriction May Cause Lean Condition Loose Engine Mounting Bolts And Air Filter Mount ing Studs Oil Pump O-Ring Leakage Loose Or Broken Cylinder Head Bolts Handlebars May Develop Cracks Seat Seal Replacement -1996 Hurricane 1997 PWC Bulletin Index By Model Model All 1997 Models 1997SLTX 1997SL1050 1997 SL900 1997 SLT780 1997 SL780 1997 SLT700 1997SL700/Deluxe Hurricane Bulletin # PWC-97-02 PWC-97-03 PWC-97-01 Type Service Service Service Notes Quality Assurance Upgrades To Engine, Pump, Door Compartment Door Latch Plate Replacement Quality Assurance Upgrades To Engine and Pump | 1998 PWC Bulletin Index By Model Model All 1998 Models 1998SLTX 1998 SLXH 1998SLH 1998 SLTH 1998 SLX Pro785 Bulletin # S-98-01 Type Service Notes Cooling Water Outlet Hose Restrictor 5/98 1.4b Polaris Industries Inc.
Paint Codes* r r r GENERAL INFORMATION Paint Codes Year 1992 1993 1994 1995 1996 Model SL650 SL650 SL750 SL650 SL750 SLT SL650 SL650 STD SL750 SLT750 SLX780 SL700 SLT700 Hurricane SL780 SLT780 SLX780 SL900 SLTX Model No. B924058 B934058 B934070 B944058 B944070 B944170 B954058 B954358 B954070 B954170 B954287 B964066 B964166 B964466 B964087 B964588 B964287 B964291 B964590 Color (See Note Below) Bright White (P133) Bright White (P133) Bright White (P133) Carnation Pink (P189) Bright White (P133) RubineRed(P182) Bright White (P133) Black Metallic (P177) White (Gel Coat Repair Kit) Caribbean Blue (P196) RubineRed(P182) Bright White (P133) Purple Velvet (P194) Caribbean Blue (P196) Bright White (P133) RubineRed(P182) Black Metallic (P177) Bright White (P133) LazerBlue(P217) Bright White (P133) Caribbean Blue (P196) Purple Velvet (P194) Bright White (P133) Porsche Red (P136) Bright White (P133) Porsche Red (P136) Bright White (P133) Purple Wave (P214) Caribbean Blue (P196) Bright White (P133) Black Metallic (P177) Porsche Red (P136) Bright White (P133) Porsche Red (P136) Bright White (P133) Purple Wave (P214) Caribbean Blue (P196) Polaris Reference No. 8520113 8520113 8520113 8520121 8520113 8520129 8520113 8520106 2871287 8520133 8520129 8520113 8520160 8520133 8520113 8520129 8520106 8520113 8520231 8520113 8520133 8520160 8520113 8520066 8520113 8520066 8520113 8520230 8520133 8520113 8520106 8520066 8520113 8520066 8520113 8520230 8520133 PPG / Ditzler Number 2185/91473 2185/91473 2185/91473 N/A / N/A 2185/91473 N/A / N/A 2185/91473 9000 / N/A N/A/19717 N/A / N/A 2185/91473 N/A / N/A N/A/19717 2185/91473 N/A / N/A 9000 / N/A 2185/91473 N/A / N/A 2185/91473 N/A/19717 N/A / N/A 2185/91473 N/A /72060 2185/91473 N/A /72060 2185/91473 N/A/52113 N/A/19717 2185/91473 9000 / N/A N/A /72060 2185/91473 N/A /72060 2185/91473 N/A/52113 N/A/19717 includes International ** Bright White (P133) NOTE: Order Polaris" N/A = Not Available models Is Ditzler #91473 or PPG 2185 P" Number from Midwest Industrial Coatings (612)-934-8252. Mix as directed. Polaris Industries Inc. 1.5 4/97
Upon purchasing this manual, you will receive a .PDF file containing an email contact. After contacting us, you will receive a reply with a link to access the manual for your Polaris SLTX 1996.
This comprehensive manual covers every aspect of your machine, providing detailed guidance for tasks ranging from an oil change to a transmission swap. With hundreds of pages, it includes numerous illustrations and easy-to-follow instructions, making it useful for both professional mechanics and DIY enthusiasts. The manual also features a search function for easy navigation and the option to print specific pages as needed.
Designed as a Factory Service Repair Manual, it offers step-by-step instructions for maintenance and repair, equipping owners with the knowledge typically possessed by factory-trained technicians. By utilizing the information within this manual, owners can confidently make informed decisions about maintaining and repairing their machine.
Our commitment extends beyond providing a high-quality service manual; we also ensure excellent customer service, guaranteeing your satisfaction.